Amplificateur Opérationnel Non-inverseur
mais v1 = v2 = vi l'équation 5.10 devient:
ou
Le gain de tension est Av = vo / vi = 1 + Rf / R1, qui n'a pas de signe négatif. Ainsi, la sortie a la même polarité que l'entrée.
Un amplificateur non inverseur est un circuit amplificateur opérationnel conçu pour fournir un gain de tension positif.
Encore une fois, nous remarquons que le gain ne dépend que des résistances externes.
Notez que si la résistance de contre-réaction Rf = 0 (court-circuit) ou R1 = ∞ (circuit ouvert) ou les deux, le gain devient 1. Dans ces conditions (Rf = 0 et R1 =∞ le circuit de la figure 5.16 devient celui montré dans Fig. 5.17, qui est appelé suiveur de tension (ou amplificateur à gain unitaire) car la sortie suit l'entrée. Ainsi, pour un suiveur de tension
Un tel circuit a une impédance d'entrée très élevée et est donc utile en tant qu'amplificateur à étage intermédiaire (ou tampon) pour isoler un circuit d'un autre, comme le montre la figure 5.18. Le suiveur de tension minimise l'interaction entre les deux étages et élimine la charge entre les étages.
exemple
pour le circuit d'ampli op de la figure 5.19, calculez la tension de sortie vo:
solution:
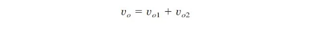
nous pouvons résoudre les deux façons: en utilisant la superposition et en utilisant l'analyse nodale.
Méthode 1
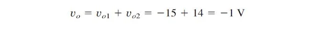
où vol est dû à la source de tension 6 V et vo2 est dû à l'entrée 4 V. Pour obtenir vo1, nous mettons la source 4-V égale à zéro. Dans cette condition, le circuit devient un onduleur. D'où Eq. (5.9) donne:Pour obtenir Vo2, nous mettons la source 6-V égale à zéro. Le circuit devient un amplificateur non inverseur de sorte que l'Eq. (5.11) s'applique.
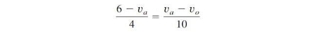
Méthode 2
mais va = vb = 4, et ainsi:
ou vo = -1 V comme précédemment.

Enregistrer un commentaire