ads hdr

méthode de tension de nœud avec source dépendant



a) Utilisez la méthode de tension de nœud pour trouver la puissance dissipée dans le 5Ω

Solution

Nous commençons par noter que le circuit a trois nœuds essentiels. Par conséquent, nous avons besoin de deux équations nœud-tension pour décrire le circuit. Quatre branches se terminent sur le nœud inférieur, nous le sélectionnons donc comme nœud de référence. Les deux tensions de nœuds inconnues La somme des courants éloignés du nœud 1 génère l'équation

La sommation des courants loin du nœud 2 donne :

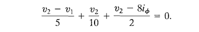
Comme écrit, ces deux équations de tension de noeud contiennent trois inconnues, à savoir, v1, v2 et iφ. Pour éliminer iφ, nous devons exprimer ce courant de commande en termes de tensions de noeud, ou :

La substitution de cette relation dans l'équation du nœud 2 simplifie les deux équations de tension de nœud pour:

La résolution pour V1 et v2 donne:

Post a Comment

Plus récente Plus ancienne