Introduction
Jusqu'à présent, notre analyse s'est limitée pour la plupart aux circuits à courant continu: ces circuits excités par des sources constantes ou invariantes dans le temps. Nous avons restreint la fonction de forçage aux sources DC par souci de simplicité, pour des raisons pédagogiques, mais aussi pour des raisons historiques. Historiquement, les sources étaient le principal moyen de fournir de l'énergie électrique jusqu'à la fin des années 1800. À la fin de ce siècle, la bataille du courant continu contre le courant alternatif a commencé. Tous deux avaient leurs avocats parmi les ingénieurs électriciens de l'époque. Parce que le courant alternatif est plus efficace et plus économique à transmettre sur de longues distances, les systèmes à courant alternatif ont fini par gagner. Ainsi, c'est en accord avec la séquence historique des événements que nous avons d'abord considéré les sources DC. Nous commençons maintenant l'analyse des circuits dans lesquels la tension ou le courant de la source varie dans le temps. Dans ce chapitre, nous nous intéressons particulièrement à l'excitation sinusoïdale variant dans le temps, ou simplement à l'excitation par une sinusoïde.
Un sinusoïde est un signal qui a la forme de la fonction sinus ou cosinus.
Un courant sinusoïdal est généralement appelé courant alternatif (ac).
Un tel courant s’inverse à intervalles réguliers et a tour à tour
valeurs positives et négatives. Circuits entraînés par courant sinusoïde ou volt-
sources d’âge sont appelés circuits ac.
Nous nous intéressons aux sinusoïdes pour un certain nombre de raisons. Premièrement, la nature lui-même est typiquement sinusoïde. Nous faisons l’expérience de varia sinusoïdaux dans le mouvement d’un pendule, la vibration d’une chaîne, les ondulations
à la surface de l’océan, et la réponse naturelle des systèmes d’ordre, pour n’en citer que quelques-uns. Deuxièmement, un signal sinusoïdal est facile à générer et à transmettre.
C'est la forme de tension générée dans le monde entier et fournie aux maisons, usines, laboratoires, etc. C'est la forme dominante de signal dans les industries des communications et de l'énergie électrique. Troisièmement, grâce à l'analyse de Fourier, tout signal périodique pratique peut être représenté par une somme de sinusoïdes. Les sinusoïdes jouent donc un rôle important dans l'analyse des signaux périodiques.
Enfin, une sinusoïde est facile à manipuler mathématiquement. Le dérivé et l'intégrale d'une sinusoïde sont eux-mêmes des sinusoïdes. Pour ces raisons et d'autres, la sinusoïde est une fonction extrêmement importante dans l'analyse de circuit.
Une fonction de forçage sinusoïdal produit à la fois une réponse transitoire et une réponse en régime permanent, tout comme la fonction d'étape, que nous avons étudiée aux chapitres précédent. La réponse transitoire s'éteint avec le temps, de sorte que seule la réponse en régime permanent demeure. Lorsque la réponse transitoire est devenue négligeable par rapport à la réponse en régime permanent, nous disons que le circuit fonctionne en régime permanent sinusoïdal. C'est cette réponse sinusoïdale en régime permanent qui nous intéresse le plus dans ce chapitre. Nous commençons par une discussion de base sur les sinusoïdes et les phaseurs.
Nous introduisons ensuite les concepts d'impédance et d'admittance. Les lois de base des circuits, Kirchhoff et Ohm, introduites pour les circuits à courant continu, seront appliquées aux circuits à courant alternatif. Enfin, nous considérons les applications des circuits à courant alternatif dans les déphaseurs et les ponts.
sinusoïdes
considérez la tension sinusoïdale :![]()
Vm = l’amplitude du sinusoïde.
ω = la fréquence angulaire des radians/s.
ωt= l’argument du sinusoïde.
Le sinusoïde est montré dans la figure 9.1(a) en fonction de son argument et dans fig. 9.1(b) en fonction du temps. Il est évident que le sinusoïde se répète toutes les secondes T; ainsi, T est appelé la période de la sinusoïde. Des deux parcelles de la fig. 9.1, nous observons ωt=2π,
Le fait que v(t) se répète toutes les secondes T est démontré en remplaçant t par t + T dans Eq. (9.1). Nous obtenons :
c’est-à-dire, v a la même valeur à t + T comme il le fait à t et v(t) est dit à
périodiques. En général,
Une fonction périodique est une fonction qui satisfait f(t) = f (t + nT), pour tous les t et pour tous les entiers n.
Comme nous l’avons mentionné, la période T de la fonction périodique est le temps d’un cycle complet ou le nombre de secondes par cycle. La réciprocité des cette quantité est le nombre de cycles par seconde, connu sous le nom de fréquence f du sinusoïde. Ainsi
D’Eqs. (9.2) et (9.5), il est clair que :
Alors ω qu’il est en radians par seconde (rad/s), f est dans hertz (Hz).
Considérons maintenant une expression plus générale pour la sinusoïde,
où (ωt + Φ) est l'argument et Φ est la phase. L'argument et la phase peuvent être exprimés en radians ou en degrés.
Examinons les deux sinusoïdes:
illustré à la Fig. 9.2. Le point de départ de v2 sur la figure 9.2 se produit le premier dans le temps. Par conséquent, nous disons que v2 mène vi de ou que vi retarde v2 de 0. Si Φ = 0, nous disons aussi que v1 et v2 sont déphasés. Si Φ = 0, les i v1 et v2 sont dits en phase; ils atteignent leurs minima et maxima exactement au même moment. On peut comparer v1 et v2 de cette manière car ils fonctionnent à la même fréquence; ils n'ont pas besoin d'avoir la même amplitude.
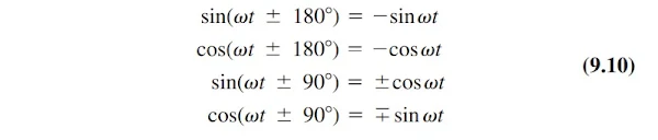
Un sinusoïde peut être exprimé sous forme sinusoïde ou cosinus. Quand comparant deux sinusoïdes, il est opportun d’exprimer à la fois comme sinus ou cosinus avec amplitudes positives. Pour ce faire, l’utilisation de la identités trigonométriques en bas :
En utilisant ces relations, nous pouvons transformer un sinusoïde de forme sinusoïde Une approche graphique peut être utilisée pour relier ou comparer les sinusoïdes au lieu d'utiliser les identités trigonométriques dans les équations. (9,9) et (9,10). Considérez l'ensemble d'axes illustré à la Fig. 9.3 (a). L'axe horizontal représente la magnitude du cosinus, tandis que l'axe vertical (pointant vers le bas) désigne la magnitude du sinus. Les angles sont mesurés positivement dans le sens antihoraire à partir de l'horizontale, comme d'habitude en coordonnées polaires. Cette technique graphique peut être utilisée pour relier deux sinusoïdes. Pour l’exemple, nous voyons dans fig. 9.3(a) que soustraire 90° de l’argument de sinωt. De même, l’ajout de 180° à cosωt donne péché ωt, ou cos(ωt - 90°) = -sinωt, ou péché (ωt + 180°) = -sinωt, comme l’argument du sinωt donne figurer à la figure 9.3(b). La technique graphique peut également être utilisée pour ajouter deux sinusoïdes de même fréquence lorsque l'un est sous forme sinus et l'autre sous forme cosinus. Pour ajouter A cosωt et B sinωt, nous notons que A est la magnitude de cosωt tandis que B est la magnitude de sinωt, comme le montre la figure 9.4 (a). L'amplitude et l'argument de la sinusoïde résultante sous forme de cosinus sont facilement obtenus à partir du triangle. Donc,
Par exemple, nous pouvons ajouter 3cosωt et -4sinωt comme indiqué dans la et obtenir figure 9.4(b) 











Enregistrer un commentaire