Courant et tension pendant la charge et la décharge
Remarquez sur les figures 1 et 2 que la direction du flux d'électrons pendant la décharge est opposée à celle pendant la charge. Il est important de comprendre que, idéalement, il n'y a pas de courant à travers le diélectrique du condensateur pendant la charge ou la décharge car le diélectrique est un matériau isolant. Il y a du courant d'une plaque à l'autre uniquement via le circuit externe.
|
| Figure 1 |
|
| Figure 2 |
La figure 3 montre un condensateur connecté en série avec une résistance et un commutateur à une source de tension continue. Initialement, l'interrupteur est ouvert et le condensateur est déchargé avec zéro volt sur ses plaques. Au moment où l'interrupteur est fermé, le courant atteint sa valeur maximale et le condensateur commence à se charger. Le courant est maximal initialement parce que le condensateur a zéro volt à travers lui et, par conséquent, agit efficacement comme un court-circuit. D'après la loi de tension de Kirchhoff, la tension source est aux bornes de R et le courant initial est I = Vs / R. Au fur et à mesure que le temps passe et que le condensateur se charge, le courant diminue et la tension aux bornes du condensateur (VC) augmente. La tension de la résistance est proportionnelle au courant pendant cette période de charge.
|
| Figure 3 |
Après un certain temps, le condensateur atteint sa pleine charge. À ce stade, le courant est nul et la tension du condensateur est égale à la tension de la source CC, comme illustré à la Figure 4. Si l'interrupteur était ouvert maintenant, le condensateur conserverait sa pleine charge (en négligeant toute fuite).
|
| Figure 4 |
Dans la Figure 5,
|
| Figure 5 |
la source de tension a été supprimée. Lorsque l'interrupteur est fermé, le condensateur commence à se décharger. Le courant initial est maximum et est donné par VC / R mais dans une direction opposée à sa direction pendant la charge. Au fil du temps, le courant et la tension du condensateur diminuent. La tension de la résistance est toujours proportionnelle au courant. Lorsque le condensateur est complètement déchargé, le courant et la tension du condensateur sont nuls. N'oubliez pas les règles suivantes concernant les condensateurs dans les circuits CC:
1. Un condensateur apparaît comme une tension ouverte à constante.
2. Un condensateur apparaît comme un court-circuit à un changement instantané de tension.
Examinons maintenant plus en détail comment la tension et le courant changent avec le temps dans un circuit capacitif.
La constante de temps RC
Dans une situation pratique, il ne peut y avoir de capacité sans une certaine résistance dans un circuit. Il peut s'agir simplement de la petite résistance d'un fil, d'une résistance de source Thevenin ou d'une résistance physique. Pour cette raison, les caractéristiques de charge et de décharge d'un condensateur doivent toujours être considérées avec la résistance associée. La résistance introduit l'élément de temps dans la charge et la décharge d'un condensateur. Lorsqu'un condensateur se charge ou se décharge à travers une résistance, un certain temps est nécessaire pour que le condensateur se charge complètement ou se décharge complètement. La tension aux bornes d'un condensateur ne peut pas changer instantanément car un temps fini est nécessaire pour déplacer la charge d'un point à un autre. La constante de temps d'un circuit RC série détermine la vitesse à laquelle le condensateur se charge ou se décharge.
La constante de temps RC est un intervalle de temps fixe égal au produit de la résistance et de la capacité dans un circuit RC série.
La constante de temps est exprimée en secondes lorsque la résistance est en ohms et la capacité en farads. Il est symbolisé par τ (lettre grecque tau), et la formule est:
Rappelez-vous que I = Q / t. Le courant dépend de la quantité de charge déplacée dans un temps donné. Lorsque la résistance est augmentée, le courant de charge est réduit, augmentant ainsi le temps de charge du condensateur. Lorsque la capacité est augmentée, la quantité de charge augmente; ainsi, pour le même courant, il faut plus de temps pour charger le condensateur.Les courbes de charge et de décharge
Un condensateur se charge et se décharge selon une courbe non linéaire,
comme illustré à la Figure 6.
Dans ces graphiques, le pourcentage
approximatif de charge complète est indiqué à chaque intervalle de temps
constant. Ce type de courbe suit une formule mathématique précise et
est:
|
| Figure 6 (a): Courbe de charge avec pourcentages de la tension finale |
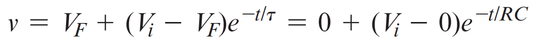
Formule générale Les expressions générales pour les courbes exponentielles croissantes ou décroissantes sont données dans les équations suivantes pour la tension instantanée et le courant instantané.
où VF et IF sont les valeurs finales de tension et de courant, et Vi et Ii sont les valeurs initiales de tension et de courant. Les lettres italiques minuscules v et i sont les valeurs instantanées de la tension et du courant du condensateur au temps t, et e est la base des logarithmes naturels. La touche ex sur une calculatrice facilite le travail avec ce terme exponentiel.











Enregistrer un commentaire