Un verrou SR avec entré de commande
Un verrou SR à déclenchement ou sensible au niveau utilise un signal de commande C qui peut être un signal d'horloge. Le signal C est utilisé pour activer (ou inhiber) le verrou à des intervalles de temps spécifiques.
Implémentation basée sur un verrou SR
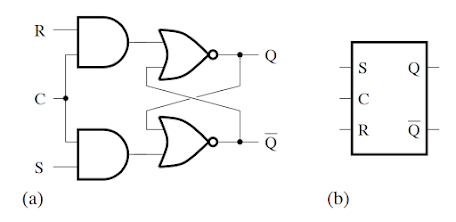
Le verrou SR à entré d'activation de la Figure 1.11 (a) est composé de deux portes ET et d'un verrou SR. Il est représenté par le symbole illustré à la figure 1.11 (b).
|
| Figure 1.11 |
Il peut être caractérisé par des équations de la forme:
où:
Les équations caractéristiques sont donc données par:et:
– Si C = 0, on a Q+ = Q et Q+ = Q.
– Si C = 1, on a Q+ = R · (S + Q) et Q+ = S · (R + Q).
Le tableau 1.7 présente la table d'états du verrou SR à déclenchement basé sur un verrou SR. La table de vérité peut être construite comme indiqué dans le tableau 1.8. Un exemple de chronogramme est illustré sur la figure 1.12, pour le cas où Q = 0 et Q = 1 initialement.
|
|
Table 1.7
|
|
|
Table 1.8
|
|
|
Figure 1.12
|
Implémentation basée sur un verrou S R
Une autre version du verrou SR à entrée d'activation, dont le circuit logique et le symbole sont donnés sur les figures 1.13 (a) et 1.13 (b), est implémentée en utilisant deux portes NAND et un verrou S-R
Figure 1.13
En effectuant son analyse, les équations suivantes peuvent être dérivées:
et:
où:
et enfin nous avons:
et:
La table de vérité du verrou SR à déclenchement basé sur un verrou S R peut, par conséquent, être construite comme indiqué dans le tableau 1.9.
![]() |
| tableau 1.9. |









Enregistrer un commentaire