ads hdr

 Le filtre à inductance en tête fournit une tension continue égale à la valeur moyenne de la tension redressée. Le filtre à condensateur en tête donne une tension de sortie égale à la valeur crête de la tension redressée. C'est le filtrage le plus utilisé dans les alimentations.

 Concept fondamental

La figure (a) montre une source alternative, une diode et un condensateur. La clé du filtrage par condensateur réside dans la compréhension de ce qui se passe durant le premier quart de cycle.

Figure a: Filtre à condensateur sans charge

Au départ, le condensateur n'est pas chargé. Pendant le premier quart de période, la diode est polarisée en direct. Idéalement, c'est un interrupteur fermé ; le condensateur se charge, et à chaque instant sa tension est la tension de la source. La charge se poursuit jusqu'à ce que la tension atteigne sa valeur maximale, et à cet instant la tension sur le condensateur est Vp.

À partir de ce moment, la décroissance commence ; tant que la tension est inférieure à Vp, la diode est bloquée, et elle se comporte comme un interrupteur ouvert.

Figure (b): le condensateur reste chargé quand la diode est en inverse

Pendant les cycles suivants, le condensateur reste pleinement chargé et la diode reste bloquée; c'est pour cela que la tension de sortie (figure (c)) est constante et égale à Vp.

figure (c): la sortie est une tension DC parfaite

Théoriquement, tout ce que doit faire le filtre à condensateur en tête est de charger le condensateur à la tension crête pendant le premier quart de période. La tension crête reste constante, ce qui convient parfaitement aux équipements électroniques. Il y a un seul problème : il n'y a pas de résistance de charge.

 Effet de la résistance de charge

Pour que le filtre à condensateur en tête soit utile, il doit être relié à une résistance de charge.

Figure (d): Filtre è condensateur chargé

Tant que la constante de temps RLC est nettement plus grande que la période, le condensateur reste largement chargé et la tension est approximativement Vp. La seule perturbation par rapport à une tension DC idéale est la faible ondulation représentée par la figure (e). Plus la valeur crête à crête de l'ondulation résiduelle est faible, plus on se rapproche du cas idéal.

Figure (e): La sortie est un courant directe avec une légère ondulation

Entre les crêtes, la diode est bloquée et le condensateur se décharge à travers la résistance de charge. Autrement dit, le condensateur fournit le courant de sortie. La décharge entre les crêtes étant faible, l'amplitude crête à crête de l'ondulation reste petite. Quand la crête suivante arrive, la diode conduit brièvement et recharge le condensateur à la tension crête. La question fondamentale est de savoir quelle grandeur le condensateur doit avoir pour un bon fonctionnement. Avant d'envisager ce point, voyons ce qui se passe dans les autres circuits redresseurs.

Filtrage d'un redresseur double alternance

Pour un filtre à condensateur connecté à un redresseur double alternance ou à un redresseur en pont, l'amplitude de l'ondulation et divisée par deux. La figure (f) explique pourquoi. Le condensateur se décharge pendant un temps deux fois moins long que pour un redressement simple alternance, donc la valeur crête à crête de l'ondulation est divisée par deux.

Figure f: la sortie double alternance est mieux lissé

Formule de l'ondulation résiduelle

Voici la formule utilisée pour estimer la valeur crête à crête de l'ondulation résiduelle donnée par un filtrage à condensateur : Vp = 1/fC 

 VR tension crête à crête de l'ondulation 

I: courant continu dans la charge 

f: fréquence de l'ondulation 

C: capacité

C'est une approximation, non un calcul exact; elle peut être utilisée dans le cadre d'une estimation. Pour une évaluation plus précise, la méthode consiste à utiliser un simulateur. Par exemple, si le courant DC dans la charge est 10 mA et la capacité 200 μF, l'ondulation avec un redresseur en pont et un filtre à condensateur est :



En utilisant cette formule, il faut se souvenir de deux choses. Premièrement, l'ondulation est une tension crête à crête (notation pp: pic à pic); on la mesure avec un oscilloscope. Ensuite, la relation s'utilise avec des tensions simple alternance (f= 60 Hz) ou double alternance (ƒ= 120 Hz).

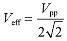
Si on utilise le voltmètre AC, la conversion valeur crête à crête - valeur efficace est possible en utilisant la relation suivante :


La division par 2 convertit la tension crête à crête en tension crête, la division √2 donne la valeur efficace pour une sinusoïde ayant la même amplitude crête à crête que l'ondulation.

Valeur de la tension DC sur la charge

Il est difficile de calculer avec précision la valeur de la tension continue sur la charge fournie par un redresseur suivi d'un filtre à condensateur. Pour commencer, il y a les chutes de tension des deux diodes à enlever de la tension crête. Une autre chute de tension intervient en plus : les diodes conduisent fortement lors de la charge du condensateur car elles sont passantes pendant un temps très court dans chaque cycle. Ce courant, très bref mais très intense, doit parcourir l'enroulement du transformateur et la résistance série de la diode. Dans la question suivante, nous allons calculer la sortie, successivement avec la première et la deuxième approximation de la diode, en se rappelant que la tension DC sera légèrement plus faible.

Exercice corrigé

Déterminez la tension continue et l'ondulation sur la charge de la figure:


Réponse: La tension efficace au secondaire est :


La tension crête au secondaire est :


En supposant une diode idéale et une faible ondulation résiduelle, la tension DC sur la charge vaut : V1 = 34 V

Pour calculer l'ondulation, il faut tout d'abord avoir le courant DC dans la charge:


Ensuite, on utilise la relation  



Post a Comment

Plus récente Plus ancienne